• Предмет: Геометрия
  • Автор: bejenariadeli44
  • Вопрос задан 2 года назад

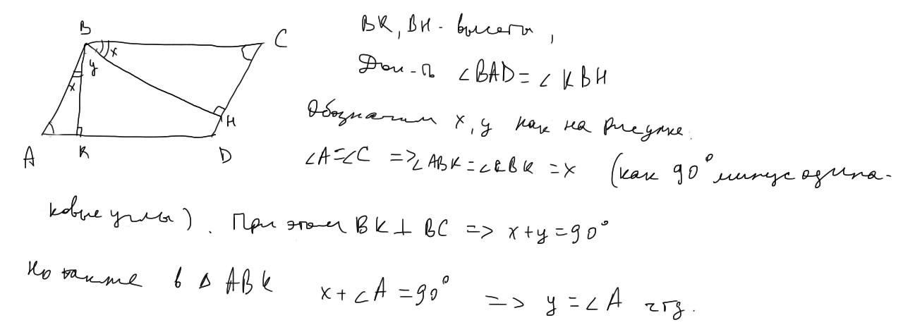
Доведіть, що кут між висотами паралелограма, проведеними з вершини тупого кута, дорівнює гострому куту паралелограма.

Ответы

Ответ дал: Warlock1
1

Ответ:

типа того

Объяснение:

Приложения:

ГАЗ52: Столько сегодня намешали!!! Целый вагон задач.
Вас заинтересует