• Предмет: Математика
  • Автор: nkartseva0609
  • Вопрос задан 2 года назад

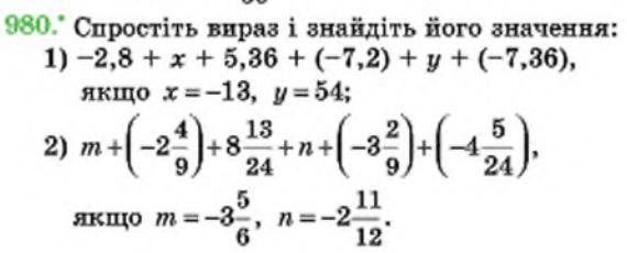
помогите с математикой , №978 и №980

Приложения:

Ответы

Ответ дал: zhan1k3
1

Ответ:

к сожалению смогла только 978

Приложения:

nkartseva0609: СПАСИБО!
Вас заинтересует