• Предмет: Алгебра
  • Автор: antikalrkosta
  • Вопрос задан 2 года назад

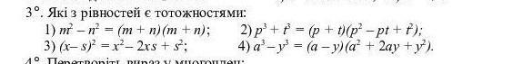
які з рівностей є тотожностями​

Приложения:

Ответы

Ответ дал: kylymniukmaxym
1

Ответ:

2,3

Объяснение:

по формулам


antikalrkosta: а можна будь ласка саме розв'язання
antikalrkosta: дякую вже не потрібно
Ответ дал: Sophia2p08
1

Відповідь:

3 і 2

Пояснення:


antikalrkosta: дякую
Вас заинтересует