• Предмет: Математика
  • Автор: bjalexyaoi549
  • Вопрос задан 2 года назад

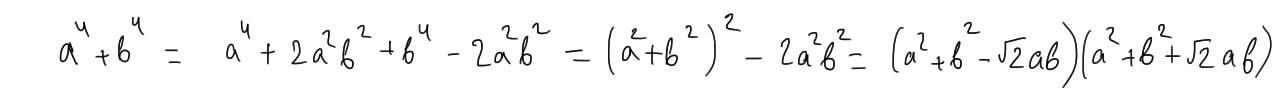
разложи на множители a^4+b^4 задача выделить квадрат двочлена, а потім застосувати різницю квадратів тут не хватает кое чего, чтобы получить квадрат двочлена, треба щось додати, потім відняти ​

Ответы

Ответ дал: Warlock1
0

Ответ:

ну так можно при желании

Пошаговое объяснение:

Приложения:
Вас заинтересует