• Предмет: Алгебра
  • Автор: freddimiska106
  • Вопрос задан 2 года назад

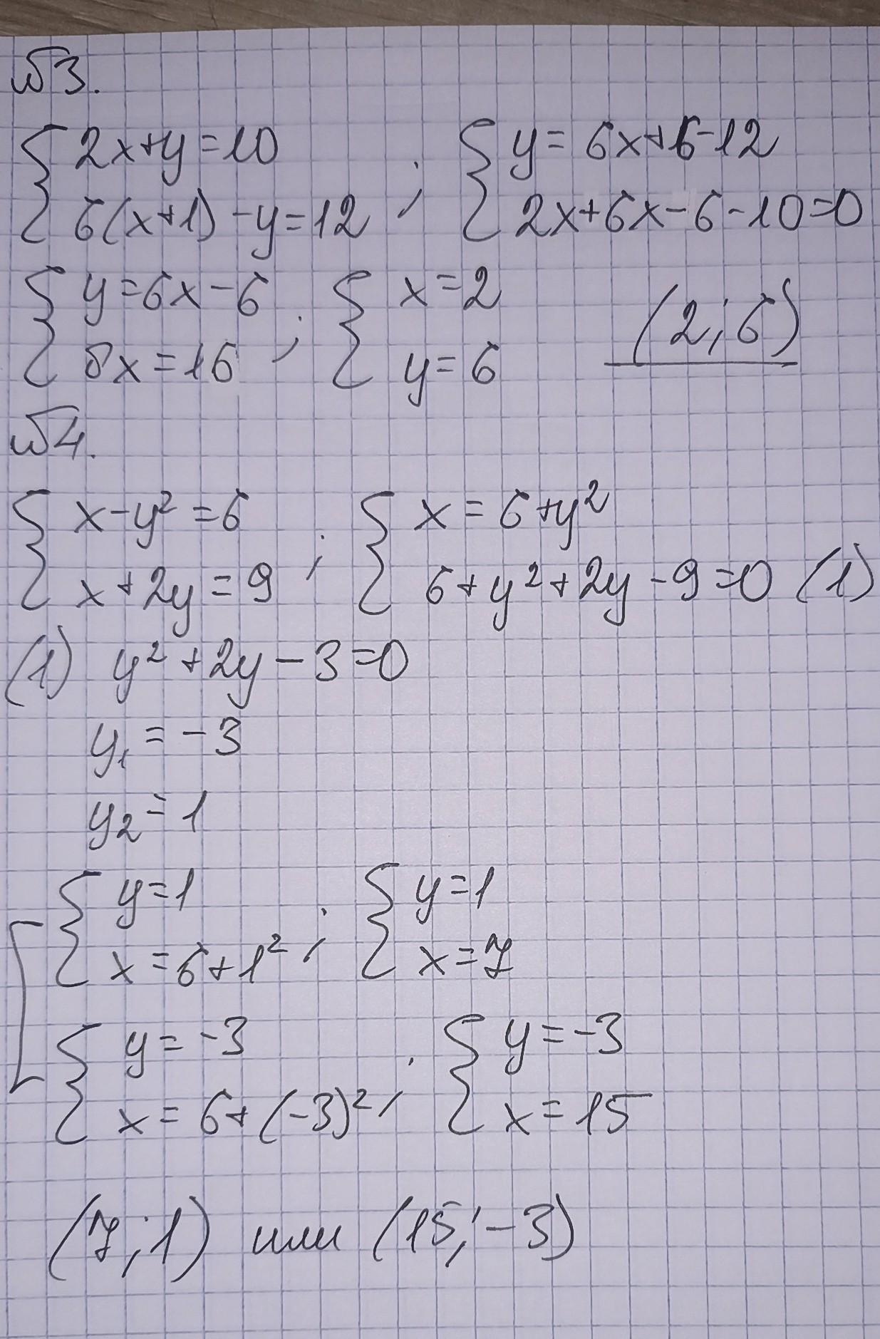
ПОЖАЛУЙСТААА!!ПРОШУУ СРОООЧНООО НАДО ДАЮ 50 БАЛЛОВ !!!!!!!!!!РЕШИТЕ САМОСТОЯТЕЛЬНУЮ РОБОТУ​

Приложения:

Ответы

Ответ дал: alchetorn
0

Ответ:

на фото

Объяснение:

на фото

........

Приложения:

freddimiska106: спасибо огромное
Вас заинтересует