• Предмет: Алгебра
  • Автор: mill1232321
  • Вопрос задан 2 года назад

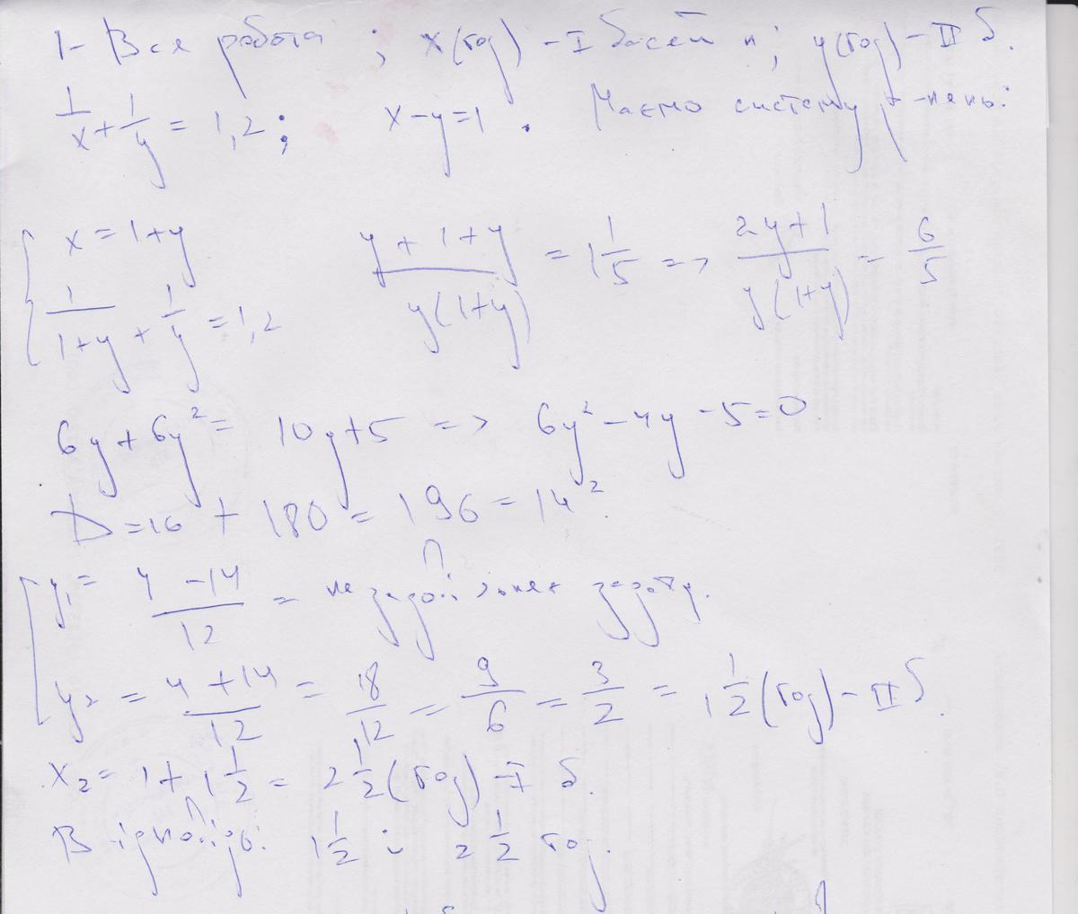
Дві труби можуть разом заповнити 2/3 басейну за 4 год. За скільки годин може заповнити басейн кожна труба окремо, якщо перша з них може зробити це на 5 год швидше, ніж друга?​

Ответы

Ответ дал: volobuewlad
1

Ответ:

Объяснение:

Вроде бы так

Приложения:
Вас заинтересует