• Предмет: Математика
  • Автор: fertjidhs172
  • Вопрос задан 2 года назад

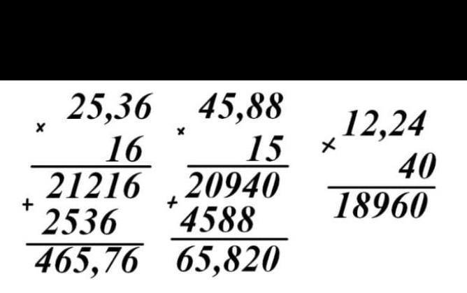
найдите здесь ошибки дам 55баллов ​

Приложения:

Ответы

Ответ дал: rusalinakusainova
1

Ответ:

в первом получится 405,76

во втором 688,2

в третьем 489,6

Пошаговое объяснение:

вроде так, проверяла на калькуляторе


fertjidhs172: там надо было не по канкулятору надо было
rusalinakusainova: извини, тогда помочь не с чем сейчас удалю ответ
rusalinakusainova: блин не могу кинь жалобу
fertjidhs172: да нечего
Ответ дал: Katy24katyyy
1

Ответ:40576 68820 48960

Пошаговое объяснение:

* 2 5,3 6

^ 6

1 5 2 1 6

2 5 3 6

4 0 5,76

* 4 5,8 8

1 5

2 2 9 4 0

+

4 5 8 8

6 8 8,2 0

* 1 2,24

4 0

4 8 9,6 0

Вас заинтересует