• Предмет: Математика
  • Автор: Anooniimka
  • Вопрос задан 2 года назад

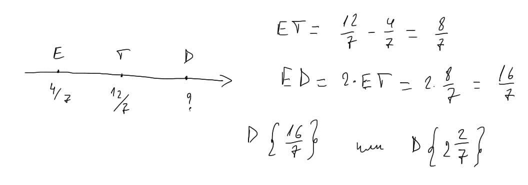
известно, что координаты точек E и T равны 4/7 и 12/7 соответственно. Точка Т-середина отрезка ED. Чему равна координата точки D?
Хелп.. ​

Ответы

Ответ дал: Warlock1
0

Ответ:

ну вроде так

Пошаговое объяснение:

Приложения:
Вас заинтересует