• Предмет: Геометрия
  • Автор: elizabeth7496
  • Вопрос задан 2 года назад

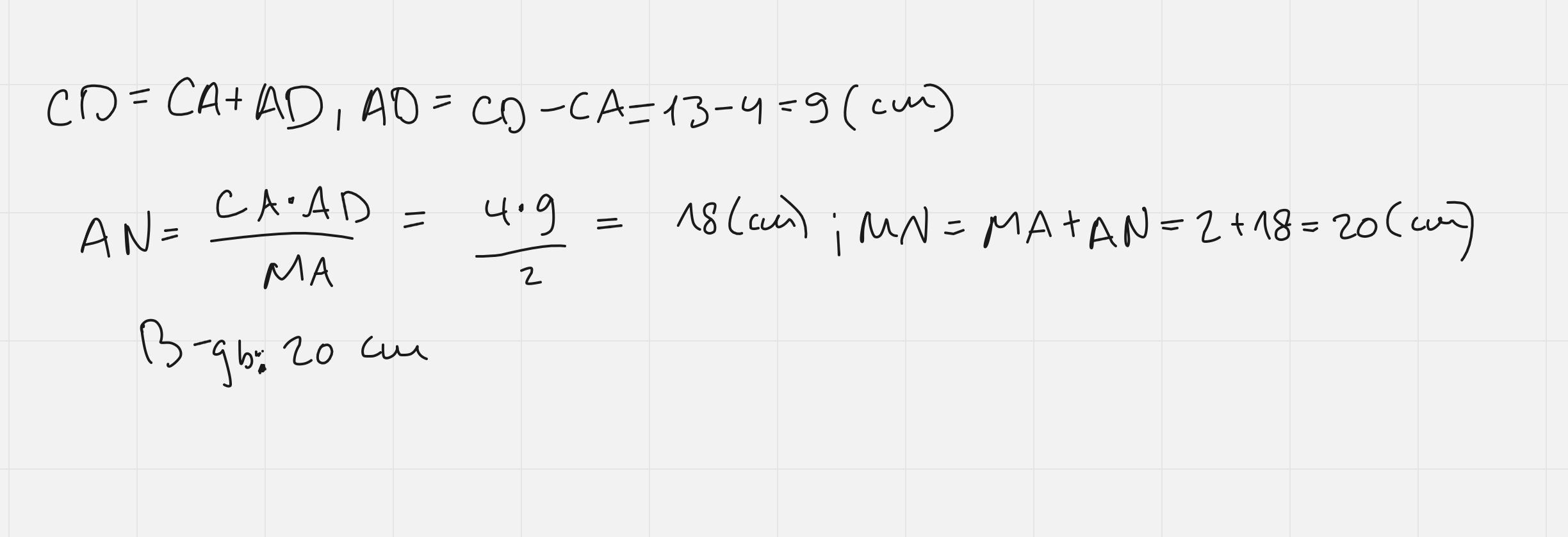
Хорда CD завдовжки 13 см, перетинає хорду МN у точці А. СА = 4 см, МА = 2 см. Знайдіть довжину хорди MN.​

Ответы

Ответ дал: broomspun1
3

Ответ:

вот ответ и можно лучший пж

Объяснение:

Приложения:
Вас заинтересует