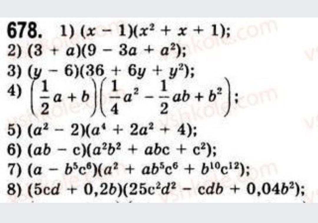
Виконати множення многочленів з картинки, використовуючи формулу суму й різниці кубів двох виразів
Приложения:
                     
                            Ответы
                                            Ответ дал: 
                                                                                    
                                        
                                            
                                                
                                                
                                                
                                                    0
                                                
                                            
                                        
                                    Відповідь:
113
Пояснення: там множиться і ділитися числи пон?
Вас заинтересует
                
                        1 год назад
                    
                
                        1 год назад
                    
                
                        1 год назад
                    
                
                        3 года назад
                    
                
                        3 года назад
                    
                
                        8 лет назад