• Предмет: Алгебра
  • Автор: GB275372726227
  • Вопрос задан 2 года назад

Мені потрібно здавати до завтра, потрібно повна відповідь​, інакше я буду не атестований​, бажано на українському мові!
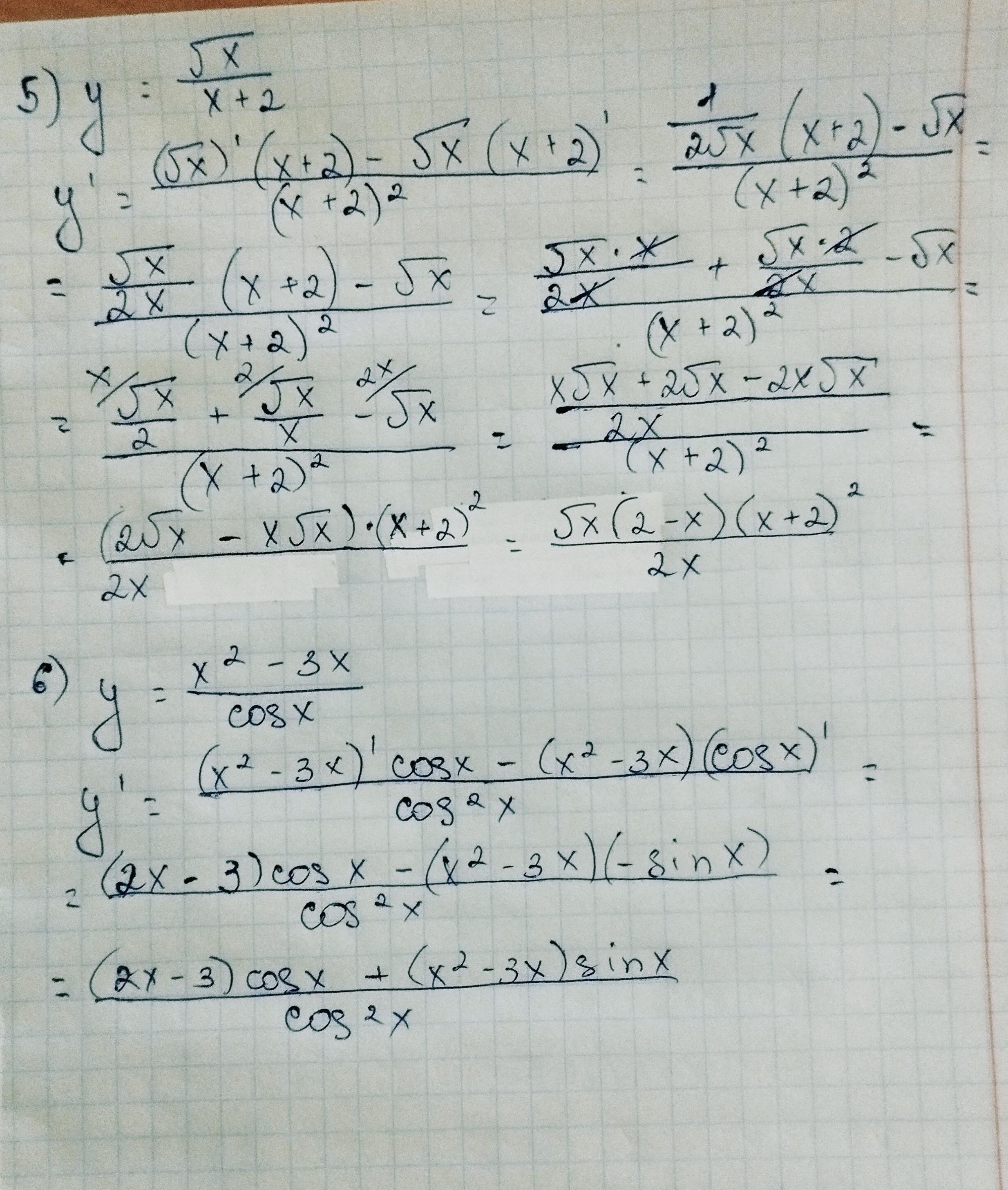
завдання 26.30 - 26.31
Мерзляк 10 клас 2018 р.​​

Приложения:

Ответы

Ответ дал: alekcalos8
3

Ответ:

Відповіді на фото

Объяснение:

Приложения:

annakycherova: пожалуйста, помогите мне, с алгеброй, у меня в профиле есть задания, все на 100 баллов, прошу помогите, спасибо
Вас заинтересует