Ответы
Ответ дал:
1
Ответ: -1/30
Пошаговое объяснение:
(-5/14+3/7):(-2 1/7)
(-5/14+6/14):(-2 2/14)
1/14:(-30/14)
Приложения:

Ответ дал:
0
Ответ:
- 1/30.
Пошаговое объяснение:
(- 5/14 + 3/7) : (- 2 1/7) = - 1/30.
1. - 5/14 + 3/7 = - 5/14 + 6/14 = 1/14;
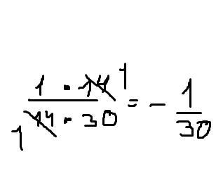
2. 1/14 : ( -2 1/7) = - 1/14 : 15/7 = - (1•7)/(14•15) = -(1•1)/(2•15) = - 1/30.
Вас заинтересует
1 год назад
1 год назад
1 год назад
3 года назад
8 лет назад