Ответы
Ответ дал:
1
Ответ:
вот ответ. Можно лучший ответ пж
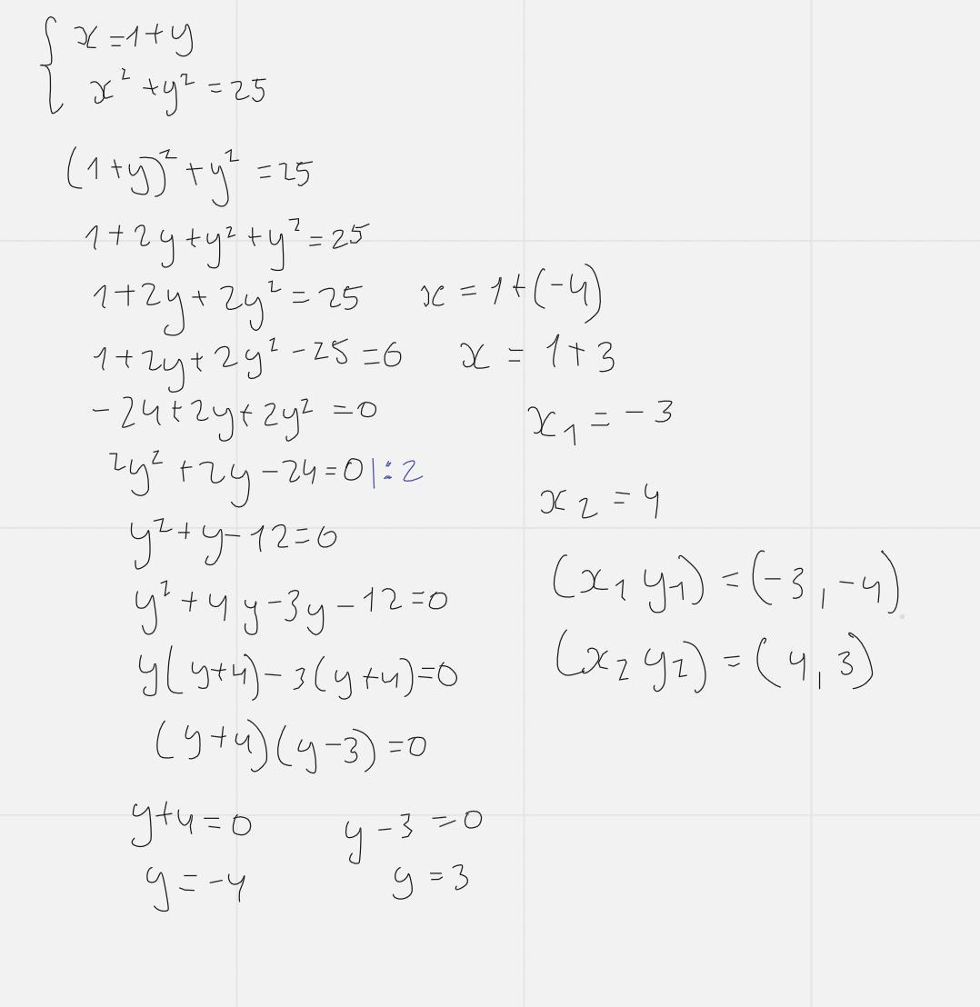
Объяснение:
Приложения:

Вас заинтересует
1 год назад
1 год назад
1 год назад
3 года назад
3 года назад
8 лет назад
8 лет назад