• Предмет: Алгебра
  • Автор: sdomrin023
  • Вопрос задан 2 года назад

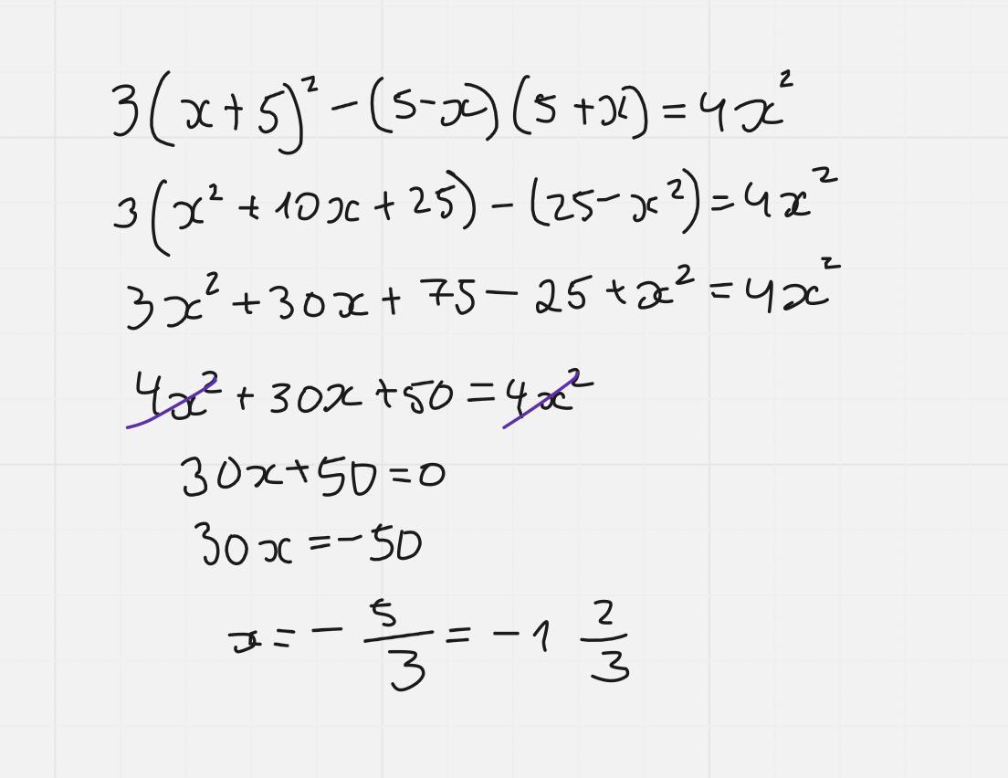
3(х+5)^2-(5-х)(5+х)=4х^2

Ответы

Ответ дал: broomspun1
0

Ответ:

можно лучший ответ пж. Спасибо

Объяснение:

Приложения:
Ответ дал: ks88870
0

Ответ:

3(x²+10x+25) - (25-x²) =4x²

3x²+30x+75-25+x²=4x²

4x²+30x+50=4x²

30x+50=0

30x=-50

X=-5/3

X=-1,6

Вас заинтересует