• Предмет: Алгебра
  • Автор: petrichenkomaksim
  • Вопрос задан 2 года назад

srochno spasite pacana

Приложения:

Ответы

Ответ дал: broomspun1
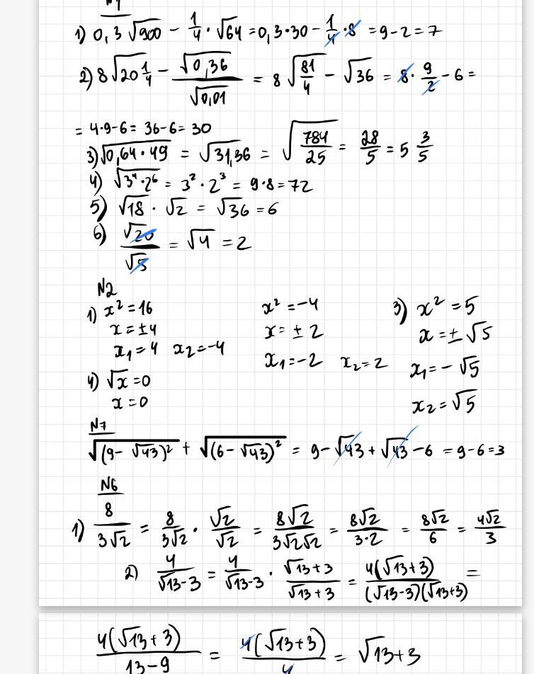
1
На держи
Дай лучший ответ пж
….()()()()….
Приложения:
Вас заинтересует