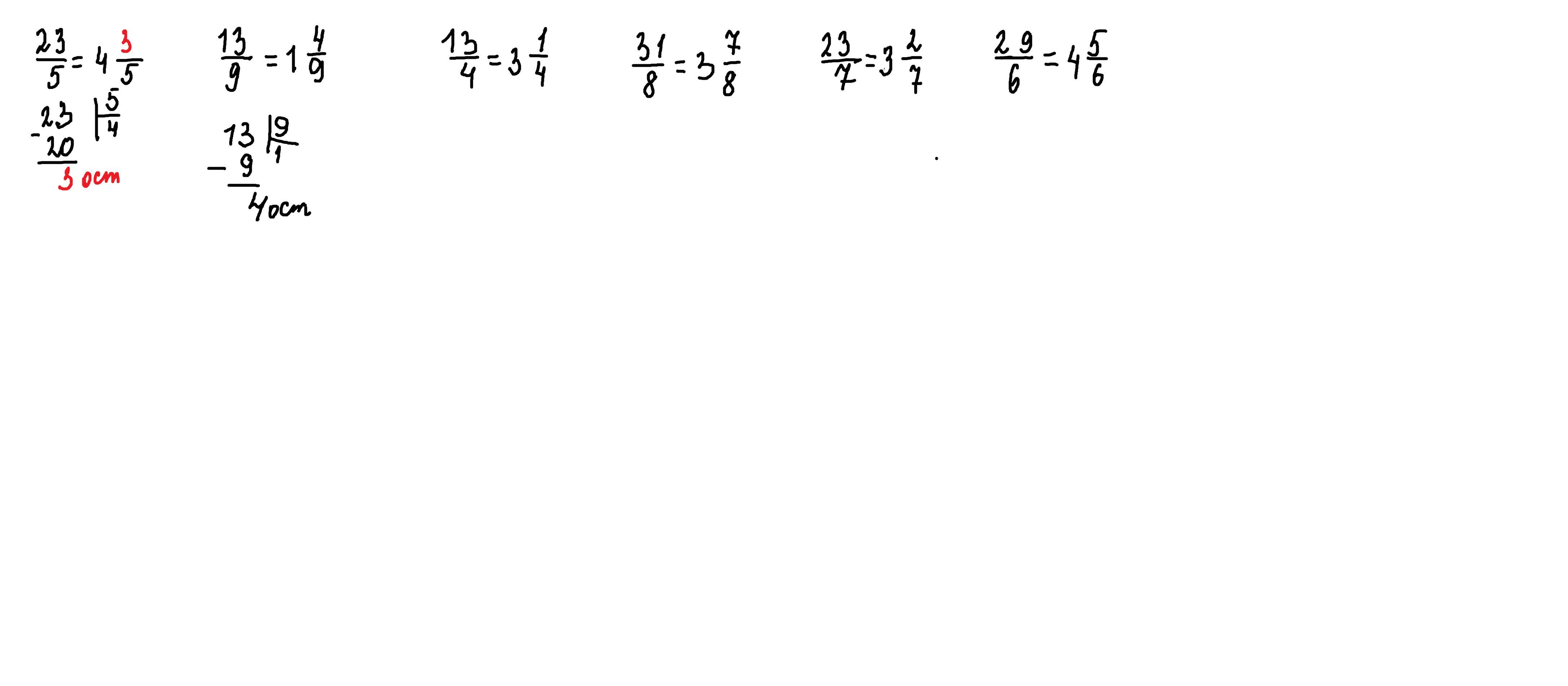
запишіть неправильний дріб як мішане число: 1) 23/5; 2) 13/9; 3) 13/4; 4) 31/8; 5) 23/7; 6) 29/6.
срочно!!!
Ответы
Ответ дал:
2
Ответ
1) 4 3/
2) 1 4/9
3) 3 1/4
4) 3 7/8
5) 3 2/7
6)4 5/
Ответ дал:
2
Ответ:
Пошаговое объяснение:
выполняем деление в столбик,частное-это целая часть,а остаток записываем в числитель,знаменатель оставляем тот же.
Приложения:

Вас заинтересует
1 год назад
1 год назад
1 год назад
1 год назад
3 года назад
3 года назад
8 лет назад