Ответы
Ответ дал:
0
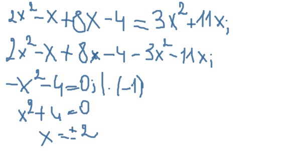
вот решение. просто там получится квадратное уравнение и все
Приложения:

Ответ дал:
0
2x^2+8x-x-4=3x^2+11x
2x^2+7x-4-3x^2-11x=0
-x^2-4x-4=0
x^2+4x+4=0
Д=4^2-4*4=16-16=0
x=-4/2=-2
2x^2+7x-4-3x^2-11x=0
-x^2-4x-4=0
x^2+4x+4=0
Д=4^2-4*4=16-16=0
x=-4/2=-2
Приложения:

Вас заинтересует
2 года назад
2 года назад
8 лет назад
8 лет назад
10 лет назад
10 лет назад
10 лет назад