• Предмет: Геометрия
  • Автор: skay37956
  • Вопрос задан 2 года назад

плмогите с задачей, пожалуйста​

Приложения:

Ответы

Ответ дал: lizasediuk
1

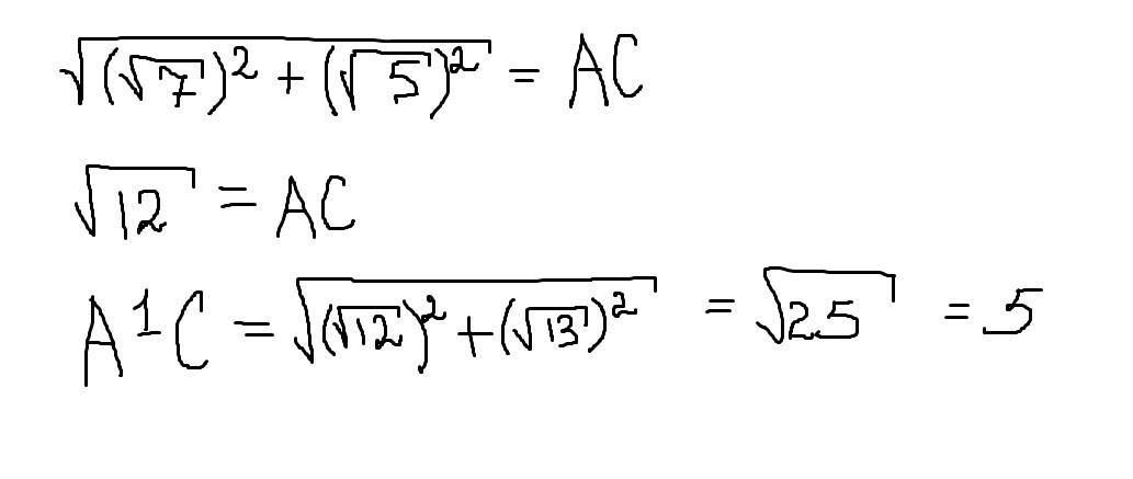
Т.к. по условию фигура прямоугольный параллелепипед, то А1С=С1С=√13
Найдем диагональ АС по теореме Пифагора:

Приложения:
Вас заинтересует