• Предмет: Математика
  • Автор: Аноним
  • Вопрос задан 2 года назад

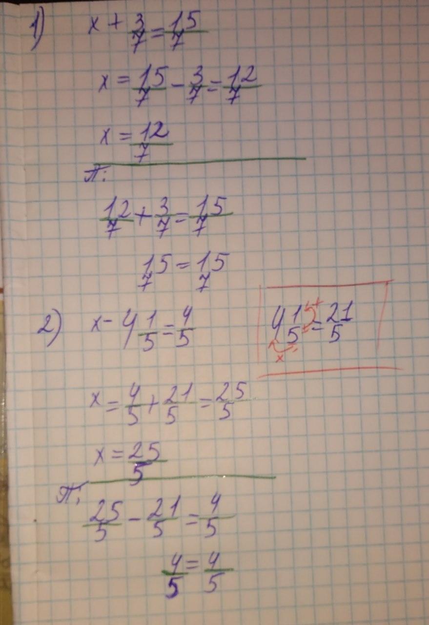
Розв'яжи рівняння а) x+3/7=15/7 б) x-4 1/5=4/5​

Ответы

Ответ дал: masturabonu25
1

Рішення на фотографії.Вибачте за почерк!!!!

Приложения:

Аноним: ДЯКУЮ
Вас заинтересует