• Предмет: Алгебра
  • Автор: Blak8Wolf
  • Вопрос задан 10 лет назад

Решите уравнение:

4(2-x)+7(2x-3)=11

Ответы

Ответ дал: mikelia
0
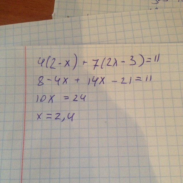
4(2-x)+7(2x-3)=11
8-4x+14x-21=11
-4x+14x=11-8+21
10x=24
x=24:10
x=2.4
Ответ дал: Blak8Wolf
0
спасибо
Ответ дал: cacoin
0
Вот, держи решение ;D
Приложения:
Ответ дал: Blak8Wolf
0
спасибо
Ответ дал: cacoin
0
Не за что ;)
Ответ дал: Дрт
0
расскажите пожалуйста как вы по крепили фото??????
Ответ дал: cacoin
0
Дрт, я с телефона отвечал :)
Вас заинтересует
11 лет назад