• Предмет: Алгебра
  • Автор: 1511all
  • Вопрос задан 2 года назад

Помогите решить, алгебра 8 класс

Приложения:

Ответы

Ответ дал: leelith7
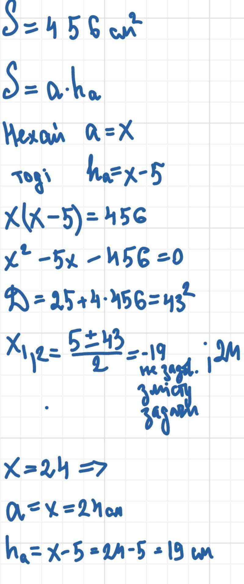
2

Ответ:

19 см

Объяснение: на фото

Приложения:

Аноним: Здравствуйте. вы не могли бы мне помочь Завтра с алгеброй пожалуйста умоляюю
Вас заинтересует