• Предмет: Математика
  • Автор: nikitHUETA
  • Вопрос задан 2 года назад

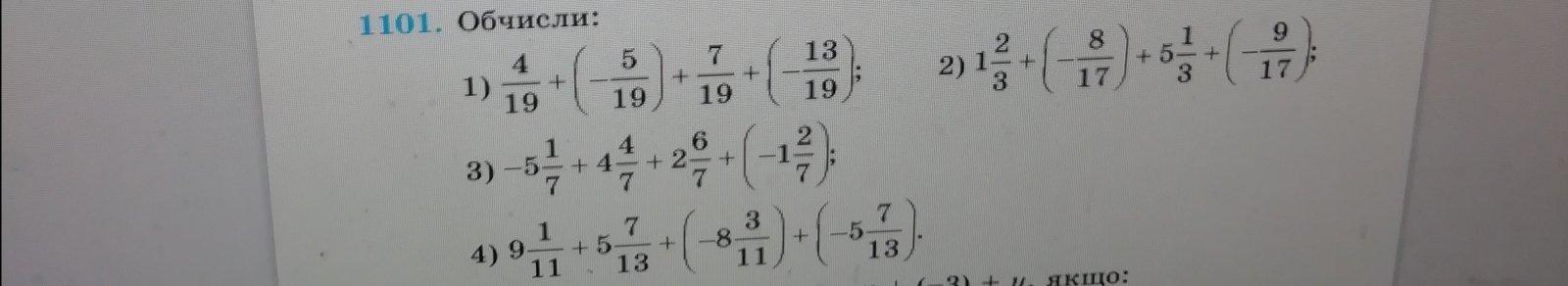
номер 1101 первый и второй пример (третий и четвертый не надо)

Приложения:

Ответы

Ответ дал: bohaura305
0

Ответ:

надо 635 надо будет сделать в школу не могу найти

Ответ дал: usenbekovaakmarzan
1

Пошаговое объяснение:

вот неручяюсь ща правельны ответ!!!

Приложения:
Вас заинтересует