Помогите, это очень срочно! Даю 60 баллов! Як зміниться сила кулонівської взаємодії двох точкових нерухомих зарядів 2q i -8q, якщо ними торкнутися одна до одної, а потім розвести на початкову відстань?
Потрібно правильно оформлети задачу( дано, знайти, формули та інше)
Ответы
Ответ дал:
1
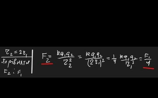
делала в заметках если не правильно я не виновата
Приложения:

aleksandrduh28:
ну так тыже делала, значит ты и виновата
Вас заинтересует
1 год назад
1 год назад
3 года назад
3 года назад
8 лет назад