Ответы
Ответ дал:
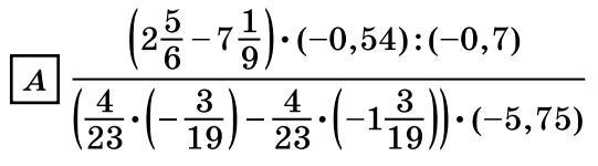
1
ответ на картинке
если что-то непонятно, спрашивайте в комментариях
Приложения:

naa161011:
СПАСИБО БОЛЬШОЕ!!!!!!!
Вас заинтересует
1 год назад
1 год назад
1 год назад
3 года назад
3 года назад
8 лет назад
8 лет назад