помогите пожалуйста с алгеброй, буду очень благодарна
тема:кводратний корінь та дійсні числа
заранее большое спасибо
Приложения:

Ответы
Ответ дал:
1
Ответ:
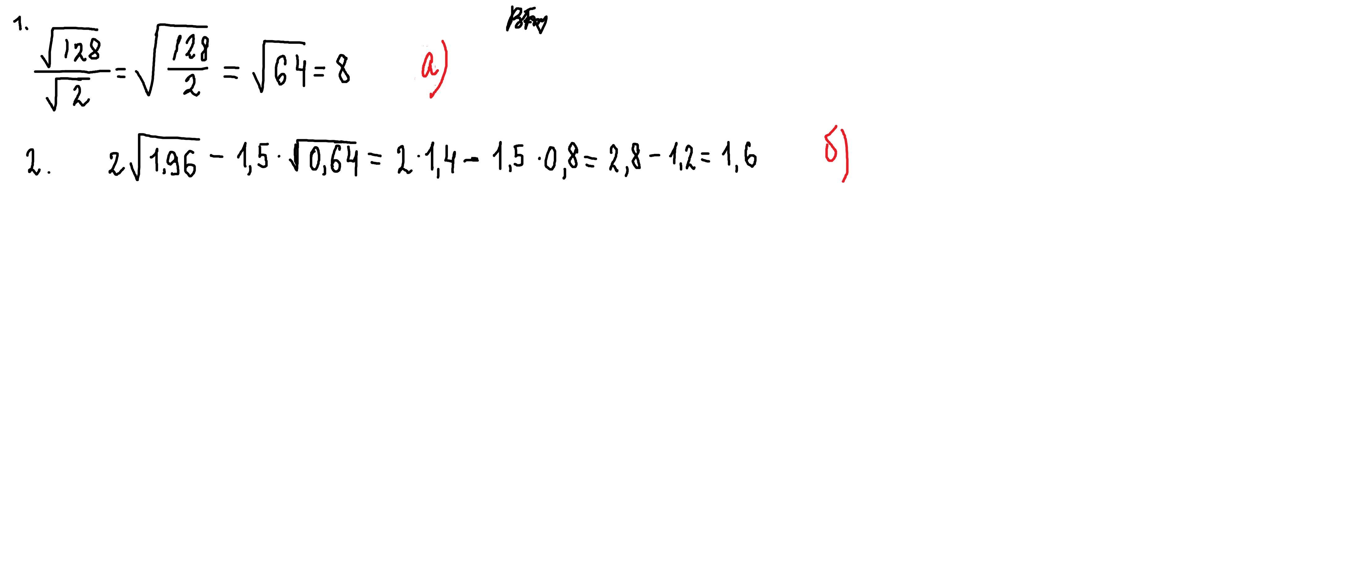
друге завдання відповідь б)1,6 перше вибач але я не знаю
Ответ дал:
1
Ответ:
1 а 2 б
Объяснение:
Приложения:

Vasilaaaaaaaa:
допоможіть будь ласочка з алгеброю
Вас заинтересует
1 год назад
1 год назад
1 год назад
3 года назад
8 лет назад