• Предмет: Алгебра
  • Автор: ramzansemnadcat
  • Вопрос задан 2 года назад

100 БАЛЛОВ. здравствуйте, решите пожалуйста, не просто ответ, а ещё и путь решения, спасибо

Приложения:

Ответы

Ответ дал: xktydjxrj
1

Ответ:

Объяснение:

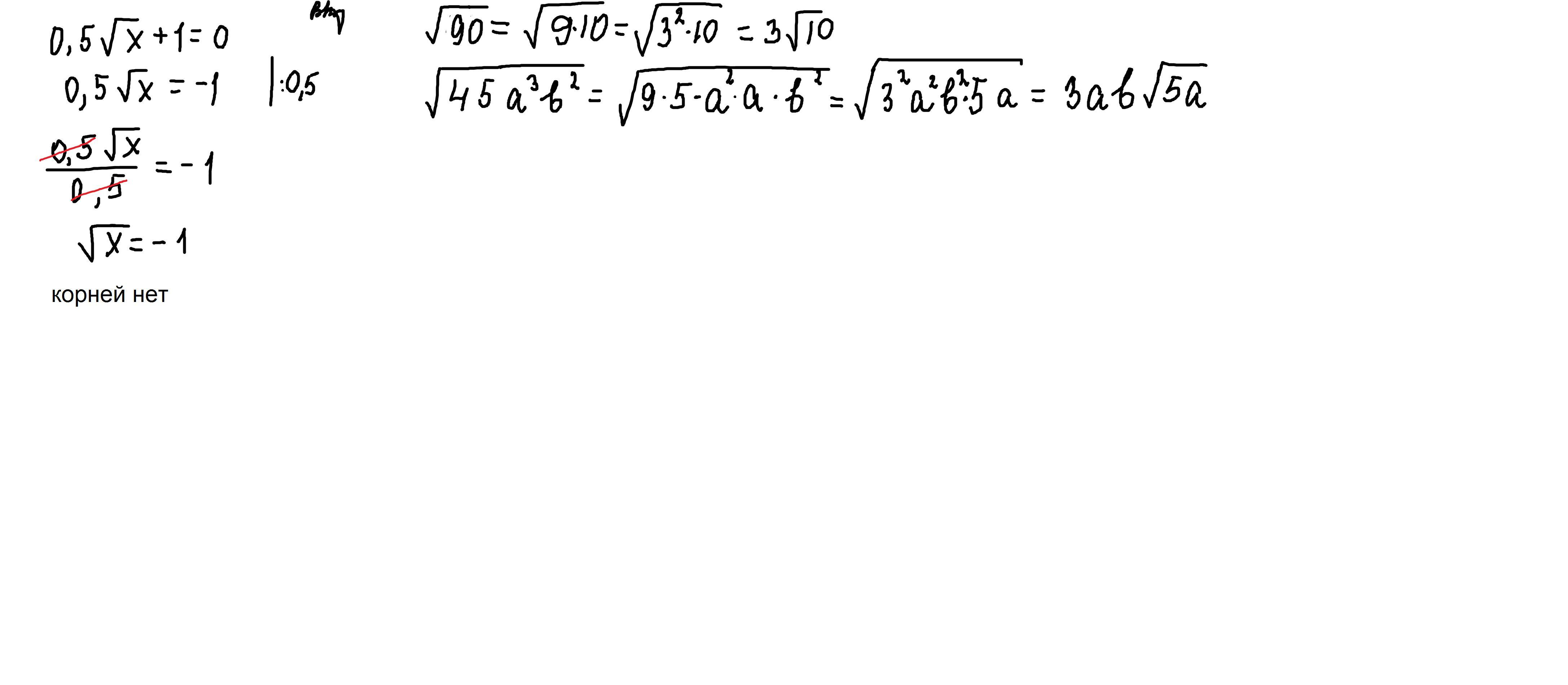
2) 0,5корень(х)=-1

корень(х) = -1/0,5

корень(х)= -2

нет корней(т. к. корень не может быть с минусом)

3.

1) корень (90) = корень( 3*3*10)= 3 корень (10)

2) корень (5*9*а*а*а*b*b)=3ab корень ( 5a)


parus77: 2) корень (5*9*а*а*а*b*)=3ab корень ( 9a) проверьте!
xktydjxrj: быстро печатала и забыла b. сори.
xktydjxrj: и 5 тоже забыла
Ответ дал: parus77
1

Ответ:

Объяснение:

решение внизу

2) уравнение действительных корней  не имеет

Приложения:
Вас заинтересует