• Предмет: Алгебра
  • Автор: boris584
  • Вопрос задан 2 года назад

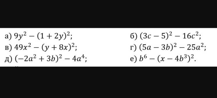
ПРОШУ ЗДЕЛАЙТЬ ПО ФОРМУЛЕ ДАМ 40 БАЛЛОВ

Приложения:

Ответы

Ответ дал: AppleTimur
1

Ответ:

Если надо было сделать другое "разложить на множители", то переделаю

Приложения:

boris584: Спс
AppleTimur: Пж
Вас заинтересует