• Предмет: Математика
  • Автор: crehimli30cahad
  • Вопрос задан 2 года назад

Помогите пожалуйста на вопрос пж дам 70 баллов

Приложения:

Ответы

Ответ дал: chemistrycrush
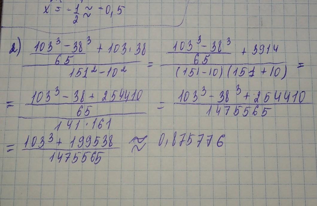
1

Ответ:

Подробное решение на фото

Удачи!)

Приложения:

crehimli30cahad: Спасибо
chemistrycrush: можете пожалуйста закрепить как лучший ответ?)
Ответ дал: natalyabryukhova
1

Ответ:

\displaystyle        \bf   2)\;\frac{\frac{103^3-38^3}{65}+103\cdot 38 }{151^2-10^2}  =\frac{141}{161}

\displaystyle        \bf 3)\;  \frac{\frac{89^3-11^3}{78}+89\cdot11 }{110^2-100^2} =4\frac{16}{21}

\displaystyle \bf  4)\;\frac{\frac{67^3-33^3}{34}+67\cdot 33 }{75^2-25^2}        =2

Пошаговое объяснение:

Вычислить:

Для решения надо знать:

a³ - b³ = (a - b)(a² + ab + b²)

a² - b² = (a - b)(a + b)

(a + b)² = a² + 2ab + b²

\displaystyle        \bf   2)\;\frac{\frac{103^3-38^3}{65}+103\cdot 38 }{151^2-10^2}  =\\\\\\=\frac{\frac{(103-38)(103^2+103\cdot38+38^2)}{65}+103\cdot 38 }{(151-10)(151+10)} =\\\\\\=\frac{\frac{(65)(103^2+103\cdot38+38^2)}{65}+103\cdot 38 }{141\cdot161} =\\\\\\=\frac{103^2+2\cdot103\cdot38+38^2}{141\cdot 161}=\frac{(103+38)^2}{141 \cdot161}=\\ \\ \\=\frac{141^2}{141\cdot161}=\frac{141}{161}

\displaystyle        \bf 3)\;  \frac{\frac{89^3-11^3}{78}+89\cdot11 }{110^2-100^2} =\\\\\\=\frac{\frac{(89-11)(89^2+89\cdot11+11^2)}{78}+89\cdot11 }{(110-100)(110+100)} =\\\\\\=\frac{\frac{(78)(89^2+89\cdot11+11^2)}{78}+89\cdot11 }{10\cdot210} =\\\\\\=\frac{89^2+2\cdot89\cdot11+11^2}{10\cdot210}=\frac{(89+11)^2}{10\cdot210}  =\\\\\\=\frac{100^2}{10\cdot210}=\frac{100}{21}=4\frac{16}{21}

\displaystyle \bf  4)\;\frac{\frac{67^3-33^3}{34}+67\cdot 33 }{75^2-25^2}        =\\\\\\=\frac{\frac{(67-33)(67^2+67\cdot33+33^2)}{34}+67\cdot 33 }{(75-25)(75+25)}=\\ \\ \\=\frac{\frac{(34)(67^2+67\cdot33+33^2)}{34}+67\cdot 33 }{50\cdot100}= \\\\\\=\frac{67^2+2\cdot67\cdot33+33^2}{50\cdot100}=\frac{(67+33)^2}{50\cdot100}=\\ \\ \\=\frac{100^2}{50\cdot100}=2


crehimli30cahad: Спасибо
Вас заинтересует