• Предмет: Биология
  • Автор: sqwerss
  • Вопрос задан 2 года назад

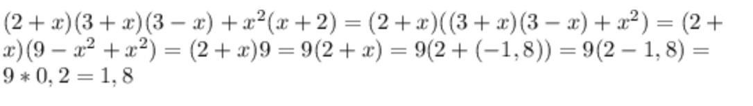
Спростіть вираз та знайдіть значення виразу:
(2 + х)(3 + х)(3 − х) + х
2
(х + 2) при х =− 1, 8.

Ответы

Ответ дал: maximm31
1

Ответ:

1,8

Объяснение:

Приложения:
Вас заинтересует