• Предмет: Математика
  • Автор: sashaprystupa777
  • Вопрос задан 2 года назад

Решите срочно пожалуста

Приложения:

Ответы

Ответ дал: iramazurk
0

Пошаговое объяснение:

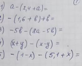
а - (2,4 + а) = а - 2,4 - а = -2,4

-(1,6 + в) + в = -1,6 - в + в = -1,6

-5в - (8а - 5в) = -5в - 8а + 5в = -8а

(х + у) - (х - у) = х + у - х + у = 2у

-(1 - х) - (5,1 + х) = -1 + х - 5,1 - х = -6,1

Вас заинтересует