• Предмет: Математика
  • Автор: ajzerehajrovoj
  • Вопрос задан 2 года назад

Решыте системы неравенства
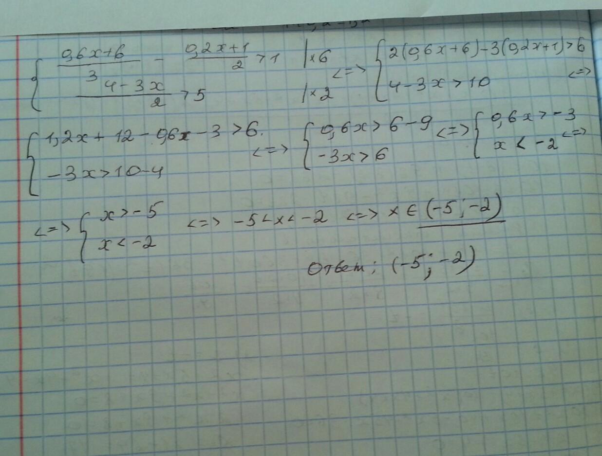
1) (0, 6x + 6)/3 - (0, 2x + 1)/2 > 1
,\\ 4-3x/ 2 >5;
2) (0, 8x - 1)/5 - 1/2x < 0 ,48,
\\ x-5/3 -1< x/6
3) (0, 2x - 1)/7 - (0, 3x)/2 < 0 ,1,
\\ x+1 /3 -1< x/ 4 ;
4) (1, 4 - x)/5 - (0, 6x)/3 < 2 ,28\\
\\ 2x-1/ 7 -1> x/3 .
Срочна помагите пж

Приложения:

Ответы

Ответ дал: climteckz
1

Ответ:

это 1 пример остальные я сама не решила

Приложения:

ajzerehajrovoj: спасиба
Вас заинтересует