• Предмет: Алгебра
  • Автор: lilyfedorova2
  • Вопрос задан 2 года назад

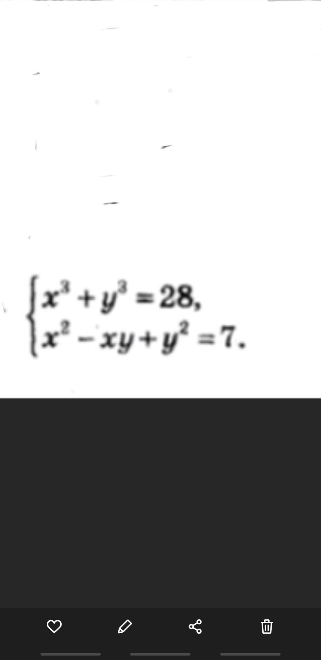
Срочно!!! Решить систему уравнения

Приложения:

Ответы

Ответ дал: isaevae804
1

Ответ:

надеюсь что помогла, удачи тебе

Объяснение:

да.

Приложения:

lilyfedorova2: Спасибо
isaevae804: угу
Вас заинтересует