• Предмет: Математика
  • Автор: novikovamiroslava140
  • Вопрос задан 2 года назад

Обчислить: 10 цілих, 11/19 + 5 цілих 14/19.

Ответы

Ответ дал: Warlock1
3

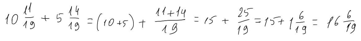
Ответ:

16 6/19

Пошаговое объяснение:

Приложения:
Ответ дал: vepsref
1

Ответ:

16 6/19

Пошаговое объяснение:

10 11/19+ 5 14/19= 15 25/19= 16 6/19

Вас заинтересует