• Предмет: Физика
  • Автор: piratdjun
  • Вопрос задан 2 года назад

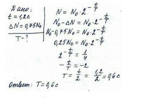
Визначте період піврозпаду радіоактивного елемента, якщо через 1,2 с після початку спостереження кількість атомів, що розпалися в ньому, становить 75% від початкової.

Ответы

Ответ дал: sasagontar275
1

Ответ:

Думаю це те, що вам потрібно.

Но я частково не впевнена у своїй відповіді.

Приложения:
Ответ дал: Cohendd
2

Так как распалось 75%,

значит осталось 25%. N*0.25=N/4=N/2².

Тогда:

t/T=2; T=t/2=1,2/2=0,6 c. Это ответ.

Вас заинтересует