• Предмет: Математика
  • Автор: tborisov095
  • Вопрос задан 2 года назад

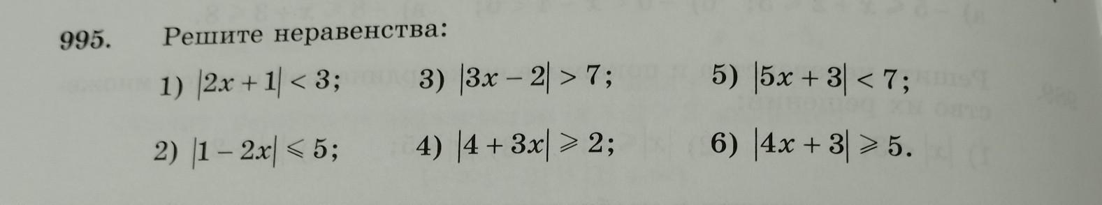
задание 995 (неч) кто решит даю 40балоа​

Приложения:

Аноним: сиди дрочи

Ответы

Ответ дал: Alnadya
0

Решение.

Неравенство   \bf |\, x\, | < a  равносильно двойному неравенству  \bf -a < x < a  .

Неравенство   \bf |\, x\, | > a  равносильно совокупности неравенств  \bf \left[\begin{array}{l}\bf x > a\ ,\\\bf x < -a\ .\end{array}\right

\bf 1)\ \ |2x+1| < 3\ \ \Rightarrow \ \ \ -3 < 2x+1 < 3\ \ ,\\\\-4 < 2x < 2\ \ ,\ \ -2 < x < 1\\\\Otvet:\ \ x\in (-2\, ;\ 1\ )\ .  

\bf 5)\ \ |5x+3| < 7\ \ \Rightarrow \ \ \ -7 < 5x+3 < 7\ \ ,\\\\-10 < 5x < 4\ \ ,\ \ -2 < x < 0,8\\\\Otvet:\ \ x\in (-2\, ;\ 0,8\ )\ .  

\bf 3)\ \ |3x-2| > 7\ \ \Rightarrow \ \ \ \left[\begin{array}{l}\bf 3x-2 > 7\\\bf 3x-2 < -7\end{array}\right\ \ \left[\begin{array}{l}\bf 3x > 9\\\bf 3x < -5\end{array}\right\ \ \left[\begin{array}{l}\bf x > 3\\\bf x < -1\dfrac{2}{3}\end{array}\right\\\\\\Otvet:\ \ \boldsymbol{x\in (-\infty ;-1\frac{2}{3}\ )\cup (\ 3\ ;+\infty \, )\ .}

Вас заинтересует