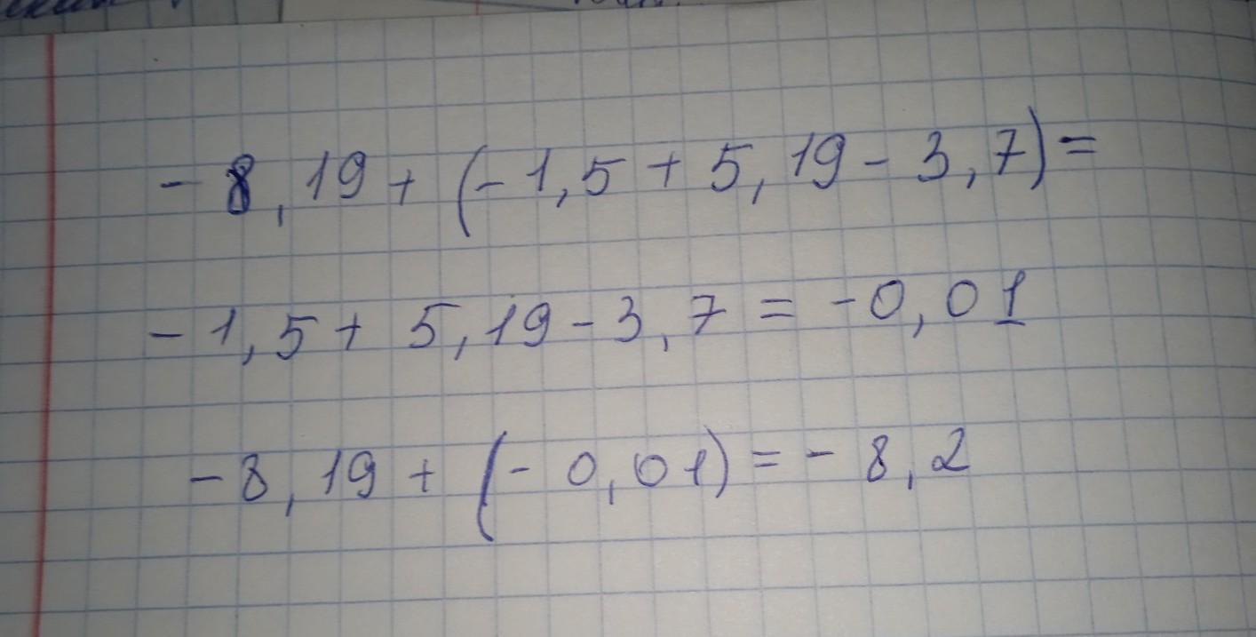
-6,19+(-1.5+5,19-3,7) Розкрийте дужки та знайдіть значення виразу помогите пожалуйста очень срочно даю 20балов
Ответы
Ответ дал:
1
Ответ:
-8.2
"""""""""""""""""""
Приложения:

vika23kvo:
можна повністю
Вас заинтересует
1 год назад
1 год назад
1 год назад
3 года назад
3 года назад