Ответы
Ответ дал:
3
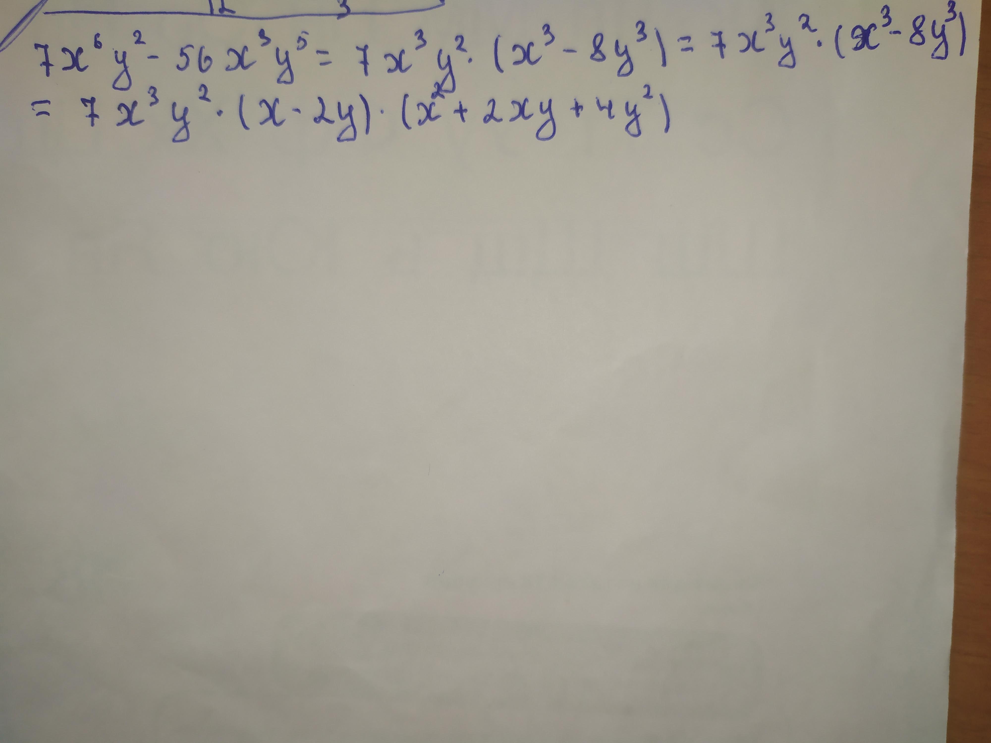
7x⁶y²-56x³y⁵ = 7х³ у² • (х³ - 8у³) = 7х³ у² • (х-2у)(х²+2ху+4у²)
Ответ дал:
1
Ответ:
вот фото
Объяснение:
Приложения:

Аноним:
привет красавчик
Вас заинтересует
1 год назад
1 год назад
1 год назад
3 года назад
3 года назад
8 лет назад