• Предмет: Алгебра
  • Автор: wklnqx
  • Вопрос задан 2 года назад

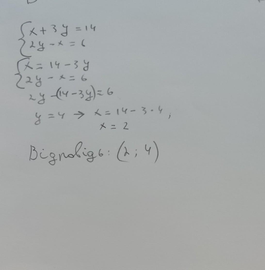
розв'язати систему рівнянь і знайти добуток компонентів розв'язку
x+3y=14
2y-x=6

Ответы

Ответ дал: d14839224
3

Ответ:

ответ во вложении+++++++++

Приложения:

kostenko54: заслужено 5 звезд:)
Ответ дал: Bogdanbbb456
0
Вирішили систему методом додавання: додали кожний компонент із першого рівняння з кожним компонентом із другого. Таким чином х і -х взаємознищилися і ми отримали просте рівняння з однією невідомою у. Розв‘язали його, і знайдене значення у підставили в перше ісходне рівняння. Отримали рівняння із невідомим х і вирішили це рівняння. Потім знайшли добуток х і у
Приложения:
Вас заинтересует