• Предмет: Алгебра
  • Автор: nstpn2008
  • Вопрос задан 2 года назад

Срочно даю 25 балов. Діагональ прямокутника дорівнює 25 см, а одна з його сторін дорівнює 7 см. Знайдіть другу сторону прямокутника.

Ответы

Ответ дал: vikaharlamova6
0

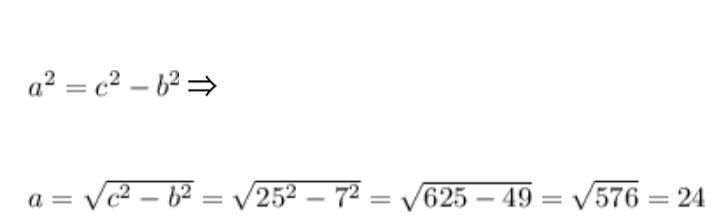
Ответ:

а -довжина прямокутника

b -ширина прямокутника

c - діагональ прямокутника

b = 7 см

с = 25 см

А = ?

Теорема Піфагора: а²+ b² = c²

a = 24 см (друга сторона)

Объяснение:

Приложения:
Ответ дал: MizoriesKun
2

Смотри.............

Приложения:
Вас заинтересует