• Предмет: Математика
  • Автор: eduardtkac04
  • Вопрос задан 2 года назад

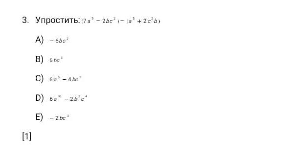
3. упростить. пжпжпжп​

Приложения:

twixdp: Там: (7a^3 - 2bc^2)-(a^5+2c^3b), да?

Ответы

Ответ дал: twixdp
1

Ответ:

(7a⁵ - 2bc²) - (a⁵ + 2c²b)
=  (7a⁵ - 2bc²) - (a⁵ + 2bc²) - сделали выражение более удобным.
= 7а⁵ - 2bc² - а⁵ - 2bc² - раскрыли скобки.
= 6а⁵ - 4bc² - посчитали. (7а⁵- а⁵ =  6а⁵), ( - 2bc² - 2bc² = - 4bc²)

Вас заинтересует