Ответы
Ответ дал:
0
Ответ:
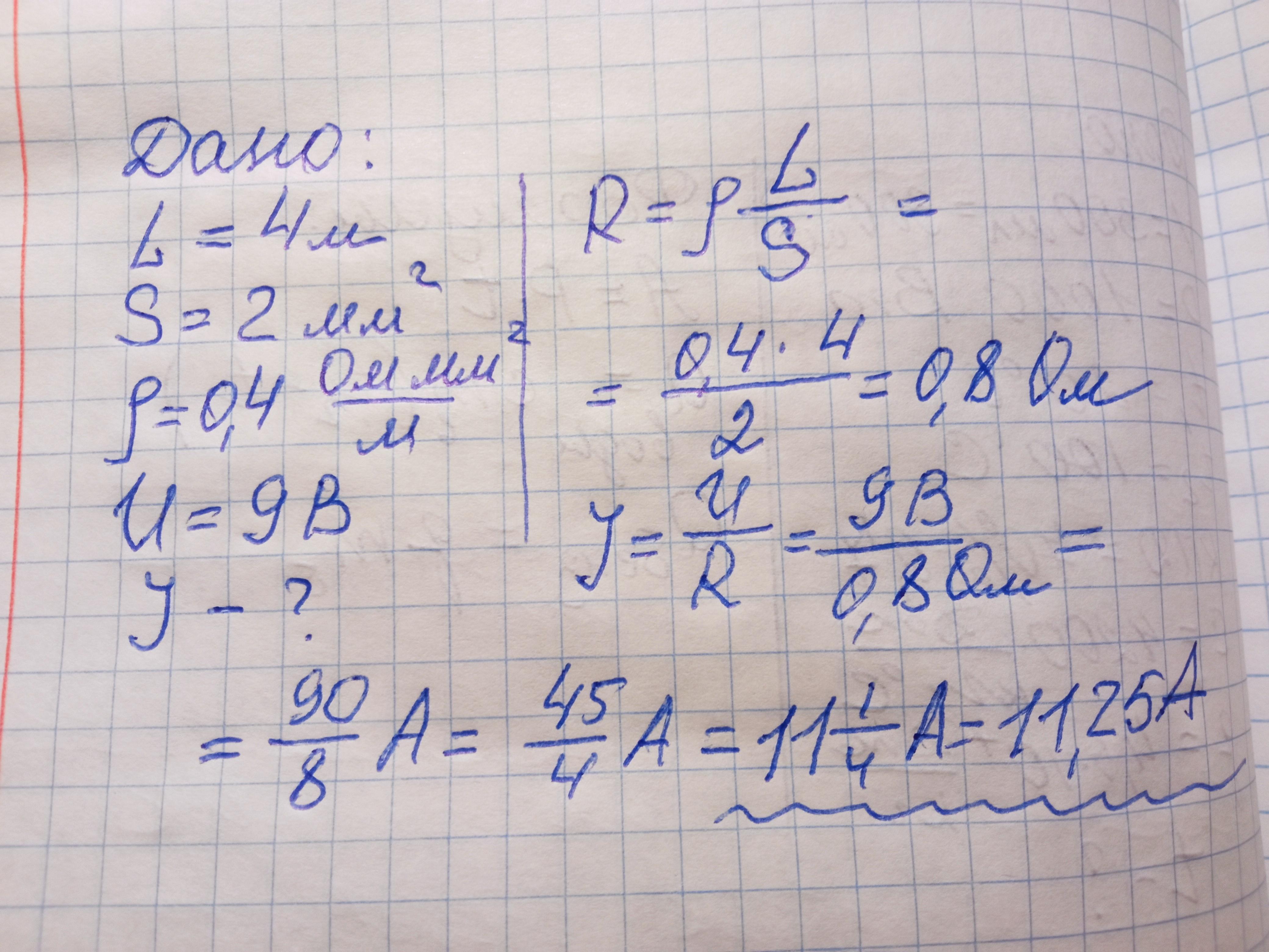
[R]=(Ом*мм²/м) * м /мм²=Ом.
Приложения:

Вас заинтересует
1 год назад
1 год назад
1 год назад
1 год назад
3 года назад
8 лет назад