• Предмет: Математика
  • Автор: Аноним
  • Вопрос задан 2 года назад

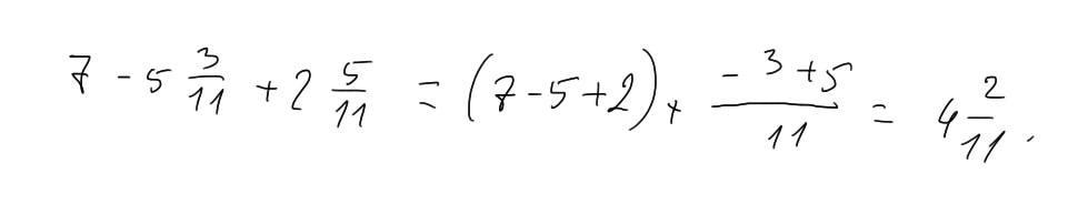
7 целых минус 5 целых 3/11 плюс 2 целых 5/11
бббууудддьььь лллаасскка ддооопппооммоожжііітттььь​
даю 30 балів

Ответы

Ответ дал: Warlock1
0

Ответ:

ну

Пошаговое объяснение:

Приложения:

Аноним: дякую
Вас заинтересует