• Предмет: Алгебра
  • Автор: sofiazadoroznaa14
  • Вопрос задан 2 года назад

Пожалуйста распишите все, умоляю, нужно сдать до вечера ​

Приложения:

Ответы

Ответ дал: broomspun1
0
Можно лучший ответ пж
…..()()()()…..
Приложения:

sofiazadoroznaa14: это правильно?
broomspun1: Ну конечно :)
Ответ дал: dobra888
0

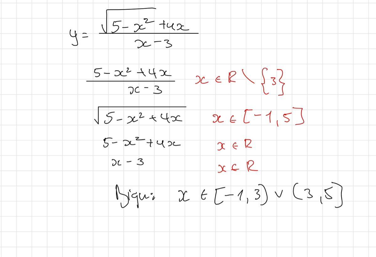
Відповідь:         D( y ) = [- 1 ; 3 ) U ( 3 ; 5 ] .

Пояснення:

       y = √( 5 - x² + 4x )/( x - 3 ) ;       D( y ) - ?

 Для розв'язання задачі маємо систему двох нерівностей :

  { 5 - x² + 4x ≥ 0 ;   ⇒   { x² - 4x - 5 ≤ 0 ;

  { x - 3 ≠ 0 ;                   { x ≠ 3 .                    Рішимо 1- шу нерівність :

x² - 4x - 5 ≤ 0 ; D = (- 4 )² - 4*1 *(- 5 ) = 36 > 0 ;  x₁ = - 1 ;  x₂ = 5 ; ( a = 1 > 0 )

        xЄ [- 1 ; 5 ] . Врахувавши 2- гу нерівність , матимемо :

        D( y ) = [- 1 ; 3 ) U ( 3 ; 5 ] .


sofiazadoroznaa14: спасибо большое
Вас заинтересует