• Предмет: Алгебра
  • Автор: sergeikozak71
  • Вопрос задан 2 года назад

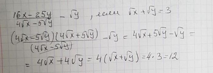
Помогите пожалуйста решить!!!

Приложения:

ВикаБач: Пусть a=sqrt(x); b=sqrt(y); (так проще, лучше всё видно). Выражение=(2a+5b) -3b =2(a+b)=2*4=8;

Ответы

Ответ дал: tastanbekovamalika10
0

Ответ:

вот пожалуйста поставь 5 звезд

Приложения:

ВикаБач: ??? Это ведь ДРУГОЙ пример!!!! ???
Вас заинтересует