• Предмет: Алгебра
  • Автор: yan986989
  • Вопрос задан 2 года назад

Нужно полное решение

Приложения:

Ответы

Ответ дал: aruzhan8899bbc
0

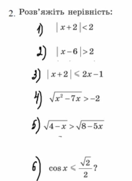
1)x +2<2. X+2≥0

-(x+2)<2,x+2<0

X<0. X≥- 2

- (x+2)<2,x+2<0

X>-4,x<-2

X>-4,x<-2

XE (-4,-2)

X E (-4,0)

Приложения:
Вас заинтересует