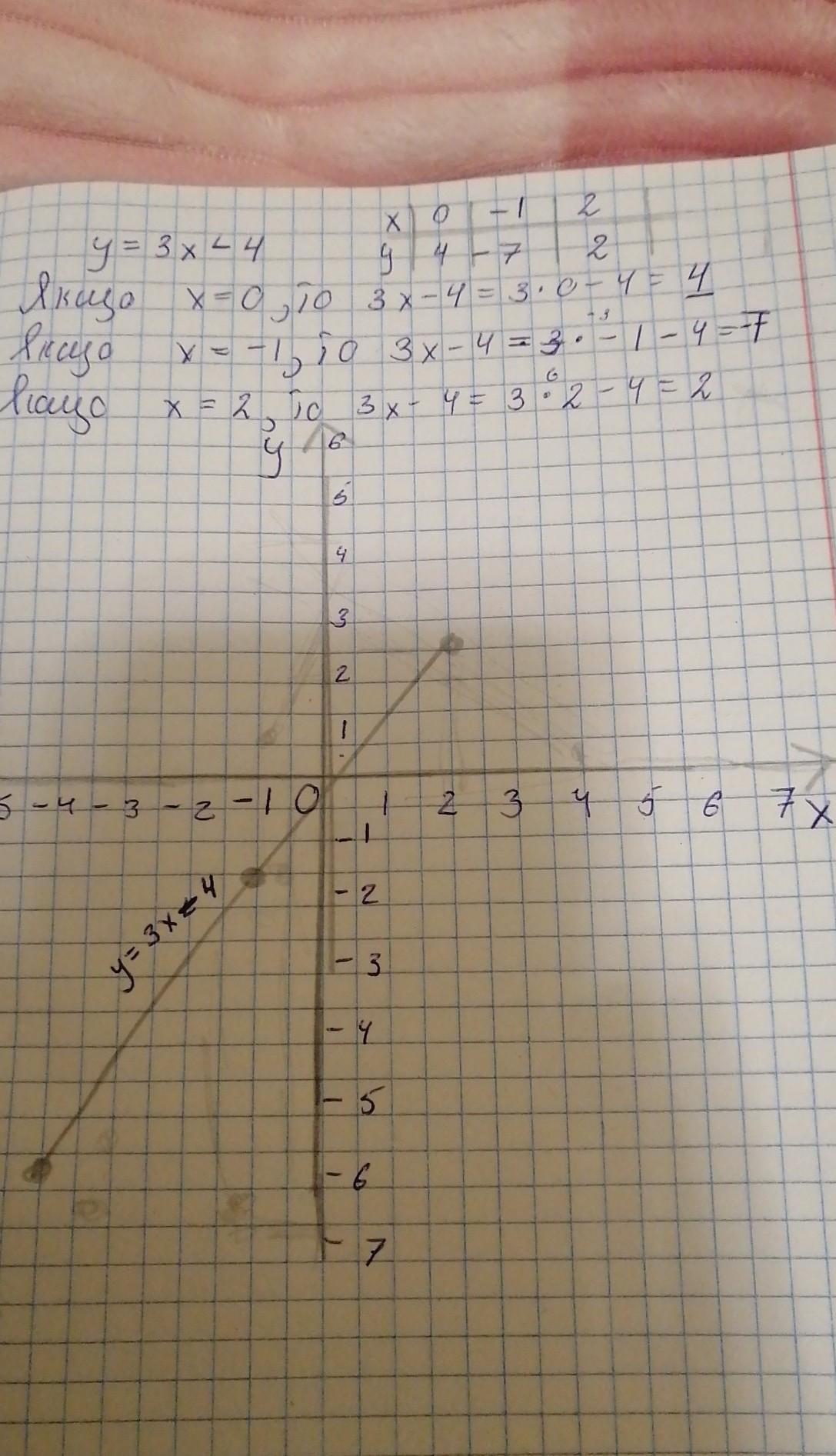
Побудуйте графік функції у = 3x-4.Користуючись графіком, знайдіть: 1) значення функції, якщо значення аргументу дорівнює : 0; -1; 2;
Ответы
Ответ дал:
1
Объяснение:
Сразу говорю, лучше график проверь, и попробуй сделать сама (я уже немножко забыла как его делать), а так все правильно, удачи)
Приложения:

rabenkotimur9:
Велике дякую/
Ответ дал:
1
Щоб побудувати графік прямої, а в загальному вигляді це пишуть так: f(x)=kx+b, необхідно лише дві точки. Намалювавши маленьку таблицю, обрали зручне значення одної із невідомих і знайшли за цим значенням другу невідому. Такі утворені пари чисел називають координатами точок на графіку, які, з‘єднавши, утворюється сам графік функції, за яким можна легко визначити значення у, якщо знаєш значення х (аргументу). Тобто обираючи наприклад значення х за -1, на графіку на цій точці з координатою по осі х знаходиться координата на осі у (значення функції)
Приложения:

Вас заинтересует
1 год назад
1 год назад
1 год назад
3 года назад
8 лет назад