Допоможіть будь ласка
Приложения:

ВикаБач:
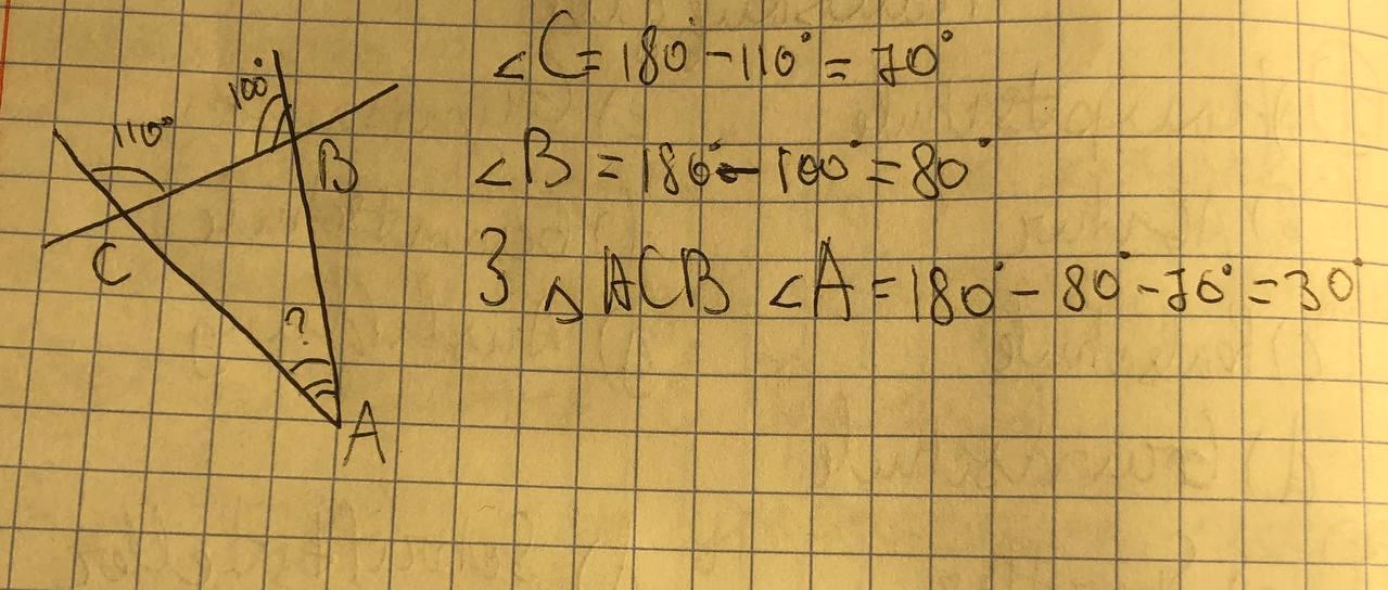
С=180-110=70; B=180-100=80; A+B+C=180; A=180-(B+C)=180-(80+70)=30;
Ответы
Ответ дал:
1
Відповідь:
рішення на фото нижче
Приложения:

Вас заинтересует
1 год назад
1 год назад
1 год назад
8 лет назад