• Предмет: Алгебра
  • Автор: alexbillll515
  • Вопрос задан 2 года назад

помогите пожалуйста помогите пожалуйста помогите пожалуйста помогите пожалуйста помогите пожалуйста помогите пожалуйста помогите пожалуйста помогите пожалуйста помогите пожалуйста помогите пожалуйста помогите пожалуйста помогите пожалуйста помогите пожалуйста помогите пожалуйста помогите пожалуйста помогите пожалуйста помогите пожалуйста помогите пожалуйста помогите пожалуйста помогите пожалуйста помогите пожалуйста помогите пожалуйста помогите пожалуйста помогите пожалуйста помогите пожалуйста помогите пожалуйста ​

Приложения:

Ответы

Ответ дал: Janerwas
1

Ответ:

-10
25

Объяснение:

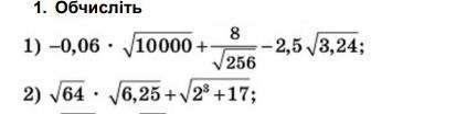
1)
-0,06*100+ 8/16-5/2* √81/25
-6+8/16-5/2*9/5
-6+8/16-1/2*9
-6+8/16-9/2=
-10
2)
8 √25/4 + √8+17
8*5/2+√25
4*5+5
20+5
25

Вас заинтересует