• Предмет: Математика
  • Автор: milena3642
  • Вопрос задан 2 года назад

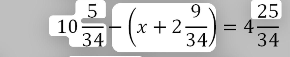
РЕшение ПОДРОБНОЕ !!!!!!!

Приложения:

Ответы

Ответ дал: marinasenilova22
0

Відповідь:

Усе правильно.

Покрокове пояснення:

Відповдь на фото.

Приложения:
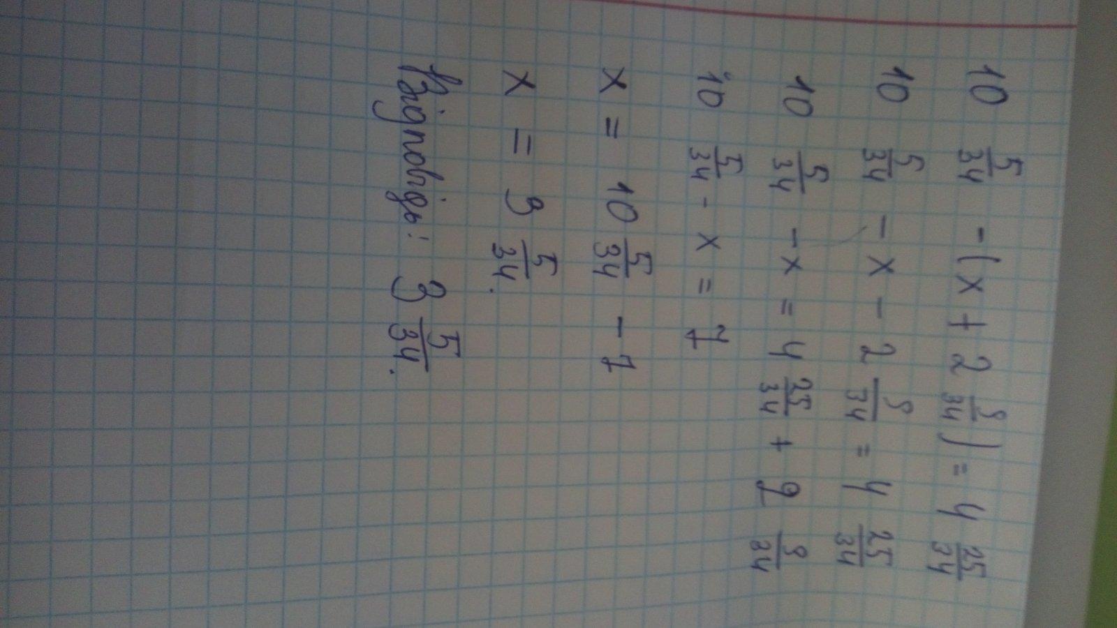
Ответ дал: iramazurk
0

Ответ:

3 5/34

Пошаговое объяснение:

10 5/34 - (х + 2 9/34) = 4 25/34

х + 2 9/34 = 10 5/34 - 4 25/34

х + 2 9/34 = 9 39/34 - 4 25/34

х + 2 9/34 = 5 14/34

х = 5 14/34 - 2 9/34

х = 3 5/34

Вас заинтересует