• Предмет: Алгебра
  • Автор: azeybarjaneq092007
  • Вопрос задан 2 года назад

помогите пожалуйста решить задание ​

Приложения:

Ответы

Ответ дал: zencio
1

Объяснение:

надеюсь все правильно и понятно

Приложения:

azeybarjaneq092007: спасибо вам огромное
Ответ дал: vlajong
1

Ответ:

Объяснение:

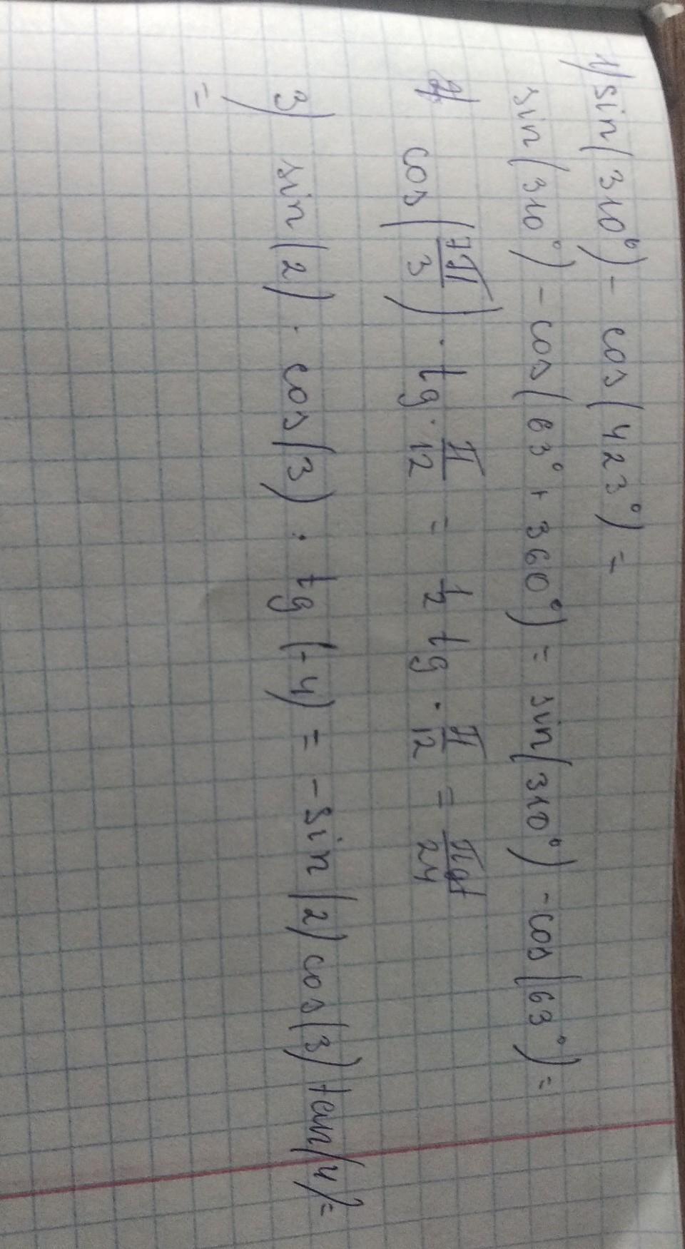
все решение на фото пользуемся переодичностью данных функций и свойствами четности не четности (косинус четная ) (синус не четная)

Приложения:

azeybarjaneq092007: спасибо большое
vlajong: если не трудно, и я тебе помог сделай мой ответ лучшим) благодарю !
Вас заинтересует